Science et vie.com a fait état le 27.12.2017 d’une découverte : "Le rayonnement cosmique agirait fortement sur le climat". C’est ce qui ressortirait d’une étude théorique et expérimentale publiée, le 19 décembre 2017 dans la revue Nature, par quatre chercheurs dont Henrik Svensmark, célèbre physicien de l’ Institut national de l'espace à l’Université technique du Danemark.
L'atmosphère terrestre reçoit en permanence des rayons cosmiques, c’est à dire des particules chargées (électrons, ions) venant notamment du Soleil ou de supernovæ proches et qui n'ont pu être détournées par les champs magnétiques solaire puis terrestre. Ces particules très énergétiques interagissent avec les molécules atmosphériques, en particulier les molécules de vapeur d’eau et, donc, influencent le climat. Ce processus peut, selon les auteurs, aller jusqu'à augmenter la couverture nuageuse de 50%.
Science et vie imagine que cette découverte « devrait être intégrée aux modèles climatiques ».
Il s’agit d’un vœu pieux pour plusieurs raisons.
- D’abord, parce que les auteurs de cette publication n’en sont pas à leur première publication sur ce sujet. Depuis plusieurs années, ils ont mené des expériences y compris avec le projet dénommé Cloud en utilisant, en 2014, les installations du CERN, plus modernes, c’est le moins qu’on puisse dire, que les « chambres à brouillard », que le physicien écossais Wilson avait inventées en 1911.
- Malgré tout, le Giec a toujours refusé de prendre en compte ce mécanisme au sérieux. Comment en serait-il autrement puisque le Giec utilise des modèles de « planètes numériques » si complexes que ne sont retenus, dans les calculs, que "des conditions de ciel clair et libres d’aérosols; l'introduction de nuages compliquerait grandement les objectifs de la recherche" (Giec WGI-AR5_WGI 8.3.1) ?
- H. Svensmark a même lié ce phénomène au "petit âge glaciaire" qu'a connu la Terre à partir de Louis XIV à la Beresina, suite à un changement de l'activité du Soleil. Mais le Giec refuse de chercher à expliquer ces phénomènes puisqu’il limite ses observations aux seules 150 dernières années (Giec AR5, Chap. 10, Fig. 10.1, p. 107) !
- Par ailleurs, le Giec parle d’une probabilité de 95% que le réchauffement soit d’origine humaine, et ajoute qu’il s’agit d’une probabilité non calculée et subjective et que « les probabilités "Objectives" et "Subjectives" ne sont pas toujours explicitement distinguées » (Giec AR5 GT2, § 2.6.2)
- Ne parlons pas, enfin, du mépris du Giec sur la qualité de ses modèles puisqu'il estime que la méthode qu'il applique, la "Détection (d’un effet température) / Attribution (à une cause)", « n’exige ni n’implique que chaque aspect de la réponse au facteur causal en question soit correctement simulé » (Giec- AR5- chap2.1) ? Autrement dit, peu importe que les modèles du Giec soient bien simulés. Ce qui importe c’est de remplir sa mission qui est de "comprendre les fondements scientifiques des risques liés au changement climatique d'origine humaine" (Cf: Principes de gouvernance Giec-§ 2). Exclut-il, a priori, l’effet de l’activité solaire en se limitant à l’origine humaine (sic) ?
Aussi intéressants que soit cette "étude théorique et expérimentale" menée par H. Svensmark et autres, il reste qu’elle n’a pas pour objet de quantifier les relations de cause à effet entre les différentes causes possibles de la période chaude contemporaine. Seule des études d’ "identification des systèmes complexes" permettent cette quantification. Or, un des meilleurs praticiens de cette discipline a conclu en 2016 que c’est vers le soleil qu’il faut se tourner pour expliquer la période chaude contemporaine. On savait que le bilan radiatif solaire n’est pas suffisant pour cela. De l’intérêt de découvrir de nouveaux mécanismes explicatifs comme celui du rôle du magnétisme solaire sur les rayons cosmiques !
Nous donnons ci-après une traduction de l’étude de H. Svensmark
Source : Nature.com du 19 décembre 2017
Transcription "les2ailes.com"
Les2ailes.com donnent ci-après une traduction assisté par Google traducteur de l’article. Les lecteurs scientifiques pourront proposer de meilleures traductions s’ils le souhaitent.
L'augmentation de l'ionisation favorise la croissance des aérosols dans les noyaux de condensation des nuages.
Article de Svensmark H[1] , Enghoff MB[2] , Shaviv NJ[3] , Svensmark J[4] 2, 4 .
1. Résumé
On pense que les ions produits par les rayons cosmiques influencent les aérosols et les nuages. Dans cette étude, l’effet de l’ionisation sur la croissance des aérosols dans les noyaux de condensation des nuages est étudié théoriquement et expérimentalement. Nous montrons que le flux de masse de petits ions peut constituer un ajout important à la croissance provoquée par la condensation de molécules neutres. Dans des conditions atmosphériques, la croissance des ions peut constituer plusieurs pour cent de la croissance de base. Nous avons effectué des études expérimentales qui quantifient l’effet des ions sur la croissance des aérosols entre la nucléation et les tailles> 20 nm et trouvent un bon accord avec la théorie. La condensation induite par les ions devrait être importante non seulement dans l’atmosphère actuelle de la Terre pour la croissance des aérosols dans les noyaux de condensation dans les conditions marines primitives, mais aussi sous une ionisation atmosphérique élevée causée par une activité accrue des supernova.
2. Introduction
Les nuages constituent une partie fondamentale du bilan énergétique terrestre, et tout processus susceptible de provoquer des changements systématiques dans la microphysique des nuages présente un intérêt général. Pour former une gouttelette de nuage, la vapeur d’eau doit se condenser en aérosols agissant comme des Noyaux de Condensation des Nuages (CCN) d’au moins 50-100 nm[5], et les changements dans le nombre de CCN influenceront la microphysique des nuages[6] , [7]. Un processus qui a été poursuivi est conduit par l’ionisation causée par les rayons cosmiques, qui a été suggéré d’être important en influençant la densité de CCN dans l’atmosphère et par conséquent la couverture nuageuse de la Terre[8], [9], [10], [11]. Le soutien à cette idée est venu des expériences, qui ont démontré que les ions amplifient significativement le taux de nucléation de petits aérosols (≈1.7 nm)[12], [13]. Cependant, pour influer sur les propriétés des nuages, tout changement dans les petits aérosols doit se propager aux tailles de CCN 50-100 nm, mais de tels changements ont ensuite été trouvés par la modélisation numérique trop petits pour affecter les nuages[14],[15], [16]. L’explication proposée pour ce déficit est que des aérosols supplémentaires réduisent la concentration des gaz à partir desquels les particules se développent, et une croissance plus lente augmente la probabilité de perte d’aérosols plus petits par rapport aux aérosols préexistants. Cela a conduit à la conclusion qu’il n’existe aucun lien significatif entre les rayons cosmiques et les nuages dans l’atmosphère terrestre.
Cette conclusion contraste fortement avec une expérience récente démontrant que lorsque des ions en excès sont présents dans le volume expérimental, tous les aérosols extra-nucléés peuvent atteindre les tailles[17] des CCN (Noyaux de Condensation des Nuages). Mais sans excès d’ions dans le volume expérimental, des aérosols extra-petits (3 nm) sont perdus avant d’atteindre les tailles de CCN, conformément aux résultats du modèle mentionné ci-dessus. La conjecture était qu’un mécanisme inconnu fonctionnait, par lequel les ions facilitent la croissance et la formation de CCN. Des preuves additionnelles proviennent des observations atmosphériques des diminutions soudaines des rayons cosmiques au cours des éruptions solaires dans lesquelles une réponse subséquente est observée dans les aérosols et les nuages[18], [19]. Encore une fois, ceci est en accord avec un mécanisme par lequel un changement dans l’ionisation se traduit par un changement dans la densité du nombre de CCN. Cependant, la nature de ce lien microphysique a été évasive.
Dans ce travail, nous démontrons, théoriquement et expérimentalement, la présence d’un mécanisme ionique, pertinent dans les conditions atmosphériques, où les variations de la densité ionique augmentent le taux de croissance des noyaux de condensation (≈1,7 nm) au CCN. On constate qu’une augmentation de l’ionisation entraîne une croissance plus rapide des aérosols, ce qui réduit la probabilité de perte de l’aérosol en croissance par rapport aux particules existantes, et plus d’aérosols peuvent survivre aux tailles de CCN. On fait valoir que le mécanisme est important dans les conditions atmosphériques actuelles et encore plus pendant l’ionisation préhistorique élevée causée par une supernova voisine. Le mécanisme pourrait donc être une explication naturelle des corrélations observées entre les variations climatiques passées et les rayons cosmiques, modulées soit par l’activité solaire[20], [21],[22], [23], [24] soit par l’activité de la supernova dans le voisinage solaire sur de très longues échelles. mécanisme sera d’une importance profonde[25], [26], [27].
3. Résultats
3.1 Modèle théorique et prédictions
Les rayons cosmiques sont les principaux producteurs d'ions dans la basse atmosphère terrestre[28] . Ces ions interagissent avec les aérosols existants et en chargent une partie. Cependant, cette fraction d'aérosols chargés est indépendante du taux d'ionisation en régime permanent - même si les interactions électrostatiques augmentent les interactions entre les aérosols chargés et entre ces aérosols et les molécules neutres, la recombinaison accrue assure que la fraction d'équilibre des aérosols reste la même[29]. La nucléation induite par les ions entraînera une charge plus fréquente des petits aérosols nucléés par rapport à une distribution de charge à l'équilibre, mais la recombinaison ionique déplacera la distribution vers l'équilibre des charges, typiquement avant que les aérosols n'atteignent ~ 4 nm[30]. La modification de l'ionisation ne devrait donc pas avoir d'influence sur le nombre d'interactions CCN par coulomb entre les aérosols.
Cependant, cet argument ne tient pas compte du fait que la fréquence des interactions entre les ions et les aérosols est fonction de la densité des ions et qu'à chaque fois qu'un ion se condense sur un aérosol, une petite masse (ion m) est ajoutée à l'aérosol. En conséquence, une modification de la densité ionique a un effet faible mais important sur le taux de croissance des aérosols, car le flux massique des ions vers les aérosols augmente avec la densité ionique. Ce flux de masse est normalement négligé par rapport au flux de masse de molécules neutres (par exemple l'acide sulfurique, SA) aux aérosols par la croissance de condensation, comme on peut le voir d'après la simple estimation suivante: la concentration ionique typique dans l'atmosphère est ordre de ≈103 ions cm-3, cependant, la concentration de vapeur de condensation (SA) est typiquement de l'ordre de ≈106 molécules cm-3 . Le rapport entre eux est de 10-3, d'où l'on pourrait conclure que l'effet des ions sur la croissance des aérosols est négligeable. Pourquoi ce n'est pas toujours le cas sera maintenant montré.
Le flux de masse vers les aérosols neutres consiste non seulement en la condensation de molécules neutres, mais aussi en deux termes qui ajoutent de la masse en raison de la recombinaison d'un ion positif (négatif) et d'un aérosol négatif (positif). De plus, comme un ion charge un aérosol neutre, l'ion ajoute un ion à sa masse. Explicitement, en tenant compte du flux de masse ionique mentionné ci-dessus, la croissance des aérosols par condensation d'un gaz neutre et d'ions simplement chargés devient (cf eq. 1),
avec i et j = (0, +, -) se référant à des particules neutres, positivement et négativement chargées. Ici,
r et t sont le rayon de l'aérosol et le temps; N i = (N0, N+, N- ) est la densité numérique des aérosols neutres, positifs et négatifs;
n0 est la concentration de gaz condensable, n+ , n- sont la concentration des ions positifs et négatifs,
alors que Ai = (mi / 4 πr2 ρ), avec
mi étant la masse de la molécule de gaz neutre ( i = 0), et la masse moyenne des ions positifs / négatifs, i = (+, -),
ρ est la masse volumique du gaz condensé,
et β est le coefficient d'interaction entre les molécules (ou ions) et neutre et / ou chargé aérosols (Voir Méthodes pour les détails sur la dérivation des équations, les coefficients d'interaction, les détails de l'expérience, et (mion /m0) de 2.25).
β00, β+0 et β-0 correspondent aux coefficients d'interaction décrivant l'interaction entre les aérosols neutres de rayon r et les molécules neutres, les ions positifs et les ions négatifs respectivement, alors que β0+, et β0- sont les coefficients d'interaction entre molécules neutres et aérosols chargés positivement / négativement. Enfin β+ - correspond à la recombinaison entre un ion positif et un aérosol négatif de rayon r , et vice versa pour β -+ [31] . Si aucun ion n'est présent, les équations ci-dessus simplifient l'équation de condensation bien connue [32], où (cf eq. 2):
est le taux de croissance du rayon d'aérosol dû à la condensation des molécules sur les aérosols. C'est le changement de taux de croissance causé par les ions qui est intéressant ici (cf eq. 3)
qui utilise Ntot = N0 + N+ + N- donne (cf eq. 4)
Les équations ( 3 ) et ( 4 ) peuvent être insérées dans les composantes de l'équation (1) (pour i = (0, +, -)). En supposant une symétrie entre les charges positives et négatives, c'est-à-dire, m ion≡ m+ = m- , β± 0 ≡ β-0 = β+0 , β± ∓ ≡ β+ - = β - + , et nion ≡ n+ = n- , conduit finalement à (Voir Méthodes pour plus de détails sur la dérivation des équations, les coefficients d'interaction, les détails de l'expérience, et (mion / m0 ) de 2.25): (cf eq. 5)
où (cf eq. 6)
Le terme 1 apparaissant dans l'équation ( 5 ) est le résultat de l'approximation (1 + 2 (β0± β±0) / ( β± ∓ β00 )) / (1 + 2 β± 0 / β ± ∓ ) ≈ 1, bon à 3 × 10 -4 pour un aérosol de 10 nm et décroissant pour d > 10 nm. Le terme entre parenthèses dans l'équation (5) est lié au taux de variation du rayon de l'aérosol (cf eq. 7)
Ce taux de croissance est l'une des équations caractéristiques décrivant l'évolution des aérosols et il est valable indépendamment de toute perte [34] .
C'est Γ , dans l'équation (6), qui quantifie l'effet net de la condensation ionique. Le terme 4 (β± 0 / β00) (N0 / Ntot) dépend des interactions électrostatiques, et où (nion / n0) et (mion / m0) dépendent des concentrations et des paramètres spécifiques. La figure 1a représente cette partie avec (β± 0 / β00) et (N0 / Ntot). La figure 1b représente la taille de Γ en% de la condensation neutre, en fonction du taux d'ionisation q et du diamètre d des aérosols pour une concentration moyenne en acide sulfurique atmosphérique de n0 ≈ 1 × 106 molécules cm-3 et m0 = 100 AMUet un rapport massique (mion/ m0) de 2,25 (voir Méthodes pour plus de détails sur la dérivation des équations, les coefficients d'interaction, les détails de l'expérience et (mion / m0) de 2,25). Il est à noter que les termes β± 0 et β00 dépendent également de la masse et du diamètre des ions et des molécules neutres, qui peuvent varier en fonction de la composition. Les masses exactes et l'asymétrie de masse entre les ions peuvent varier - les ions positifs observés ont tendance à être plus lourds que les ions négatifs [35]. Il existe d'autres réserves à la théorie, qui seront examinées dans la section Discussion.
|
Fig. 1
|
 |
|
Calcul de la contribution des ions à la croissance. a La rehaussement électrostatique relatif moyen 4 (β ± 0/β00) (N0/Ntot) entre les ions et les aérosols de diamètre d (ligne continue). La ligne pointillée est (β ± 0/β00) et la ligne pointillée est (N0/Ntot). b La taille relative de la condensation ionique, Γ (Eq. (6)) en%, dans une atmosphère avec une concentration de gaz condensables de 1 × 10 6 molécules cm -3 en fonction du diamètre d'aérosol d et du taux d'ionisation q (gauche axe de la main) ou la densité des ions (axe de la main droite). Les courbes de niveau montrent la taille relative de la croissance due à la condensation des ions en% de la croissance de condensation habituelle. Le rapport massique (mion/m0) est fixé à 2,25 et la masse de la molécule neutre est fixée à 100 AMU
|
3.2 Résultats expérimentaux
Nous allons maintenant montrer que les prédictions de la théorie de la condensation induite par les ions décrites ci-dessus peuvent être mesurées expérimentalement. Ces derniers ont été réalisés dans une chambre de réaction en acier inoxydable de 8 m3. En raison des pertes de paroi, le taux de croissance des aérosols ne pouvait pas être trop lent, donc la concentration en acide sulfurique devait être supérieure à n0 ≈ 2 × 107 molécules cm-3. Cela diminue l'effet de l'ionisation sur la croissance des aérosols de plus d'un ordre de grandeur par rapport aux valeurs atmosphériques typiques. C'est cependant une contrainte nécessaire compte tenu de la taille finie de la chambre. Le nombre de particules nucléées devait être suffisamment faible pour que la coagulation soit sans importance, ce qui permettait de maintenir les fronts de croissance dans l'espace-taille relativement nets, ce qui permettait des mesures précises du taux de croissance.
L'ionisation dans la chambre peut varier de 16 à 212 paires d'ions cm -3 s -1 en utilisant deux sources y. À l'ionisation maximale, le taux de nucléation des aérosols a été augmenté d'environ 30% par rapport à l'ionisation minimale.
Les expériences ont été réalisées avec une production photolytique UV constante d'acide sulfurique, et toutes les 4 h (dans certains cas 2) l'ionisation a été modifiée d'un extrême à l'autre, donnant une période de cycle P de 8 h (voir Méthodes Pour plus de détails sur la dérivation des équations, les coefficients d'interaction, les détails de l'expérience et le (mion/m0) de 2,25). L'effet de la nucléation induite par les ions pendant la partie du cycle avec une ionisation maximale entraîne une augmentation de la formation de nouveaux aérosols (figure 2a ). Pour améliorer les statistiques, le cycle P a été répété jusqu'à 99 fois. Un total de 11 essais expérimentaux ont été effectués, représentant 3100 h. Chaque ensemble de données a ensuite été superposé sur la période P résultant en un cycle statistiquement moyenné. Un exemple d'un cycle superposé peut être vu sur la figure 2b), où les emplacements des régions de transition entre les données de densité d'aérosol basse et haute peuvent être utilisés pour extraire l'effet des ions sur la croissance des aérosols. Les deux transitions déterminent deux trajectoires, profil 1 et profil 2, dans le plan (d,t), à partir desquelles il est possible d'estimer la différence de temps de croissance à une taille particulière d (voir Méthodes pour plus de détails sur la dérivation du équations, les coefficients d'interaction, les détails de l'expérience, et (mion/m0) de 2.25.). Un spectromètre de masse CI API-ToF a été utilisé pour mesurer la concentration d'acide sulfurique au cours de certaines des expériences et pour estimer la masse moyenne des ions [36].
|
Fig. 2
|
 |
|
Profils de croissance expérimentaux. a une densité de nombre d'aérosols , normalisé par la moyenne de 97 cycles de 4 h (T = 388 h), en fonction du diamètre d et du temps t . b Données superposées sur la période de 4 h. L'instant t1 (d) (ou t2 (d )) que le profil 1 (ou profil 2) atteint d est déterminé par le maximum local d'un ajustement gaussien à (d Ntot (d,t)/dt)2 (Voir Méthodes pour plus de détails sur la dérivation des équations, les coefficients d'interaction, les détails de l'expérience et le (mion/m0) de 2.25.). Notez que le profil 1 (profil 2) commence à croître avec γ-on (γ-off) jusqu'à d ≈ 13 nm. Cependant, lorsque d > 13 nm, le profil 1 (profil 2) croît avec γ-off (γ-on). C'est la différence de synchronisation des profils 1 et 2 qui contient des informations sur l'effet des ions sur le taux de croissance
|
La théorie ci-dessus prédit une différence dans le temps qu'il faut aux deux profils pour atteindre une taille r en raison d'une différence de vitesse de croissance causée par la condensation des ions.
|
Fig. 3
|
 |
|
Évolution temporelle de la différence de temps de croissance. Trois exemples de différences temporelles de croissance Δ T en fonction du diamètre sont représentés par des symboles de losange noir avec 1 std. dev. dev. incertitude. Les courbes rouges (bleues) correspondent aux attentes théoriques durant les périodes gamma (off) basées sur l'intégration numérique de l'équation(7). a un essai expérimental V9 (figure 4), basé sur 45 cycles de 8 h. b Essai expérimental V11, basé sur 99 cycles de 8 h. c Essai expérimental V7, basé sur 4 cycles de 8 h. Les régions hachurées indiquent des périodes de croissance dans l'état γ-off. Les courbes grises sont un lissage LOEES des données expérimentales, avec le 1er. dev. d'incertitude. La dispersion des points est la plus faible pour la course V11, qui a le plus de cycles
|
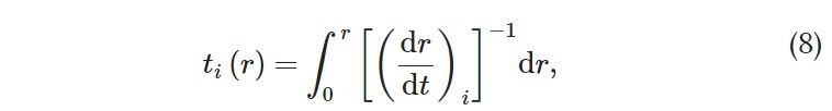
Le temps nécessaire pour que les aérosols atteignent la taille r le long des deux profils possibles est exprimé comme suit (cf eq. 8):
où t 1 et t 2 se réfèrent au temps nécessaire aux profils 1 et 2 pour atteindre la taille r . L'intégrande est donnée par l'équation (7) et il considère qu'après la moitié de la période, les sources y sont désactivées (ou allumées). Les équations ci-dessus peuvent être intégrées numériquement pour trouver A T = t 2 ( r ) - t 1 ( r ) et permettre une comparaison avec les expériences.
Au cours de la première ~ 12 nm de croissance, le profil 1 croît avec les γ-sources et croît ainsi plus vite que le profil 2 dans la région γ-off, par conséquent, t1 (r) < t2 (r) et ΔT est en augmentation (figure 2b).Cette augmentation est due à la différence (presque) constante de taux de croissance entre les deux profils. Mais lorsque le profil 1 entre dans la deuxième partie du cycle, lorsque les sources y sont éteintes, le profil 2 entre dans l'état d'ions élevés et croît maintenant plus vite que le profil 1. Par conséquent, le profil 2 croît plus vite et ΔT commence diminuer. La figure 3 représente trois exemples de A T en fonction du diamètre d . On voit que les données diffusent autour des courbes théoriques (rouge (γ-on) et bleu (γ-off)) obtenues à partir des équations (7) et (8). Les courbes grises ont été produites en effectuant un lissage LOESS (lissage pondéré localement) des données expérimentales. Il indique également que la croissance accrue se poursuit jusqu'à au moins 20 nm, et en bon accord avec la théorie. Notez que bien que certaines des expériences contiennent des données de distribution de taille au-dessus de 20 nm, les profils à ces tailles deviennent mal définis à quel point nous arrêtons l'analyse.
Les 11 essais expérimentaux sont résumés sur la figure 4, où AT est moyenné entre 6 et 12 nm, et représenté en fonction de la concentration de SA, qui est obtenue à partir des mesures CI-API-ToF et / ou des pentes de la croissance. profils. La courbe rouge est l'attente théorique pour les sources y au maximum, et la courbe bleue est obtenue avec une réduction de 45% de la densité des ions. Les deux sont trouvés en résolvant numériquement les équations (7) et (8). L'importance relative de la condensation des ions augmente à mesure que la concentration de SA diminue, comme prévu et en bon accord avec la théorie.
|
Fig. 4
|
 |
|
Comparaison d'expériences et de théorie. La différence de temps entre le profil γ-on et le profil γ-off est moyenne entre d = 6 nm et d = 12 nm en fonction de la concentration en acide sulfurique. Les symboles du cercle rouge sont pour Δq = 196 paires d'ions cm-3 s-1 et les cercles bleus sont pour Δ q = 55 paires d'ions cm -3 s -1 . Les barres d'erreur sont d'incertitude du 1er. dev. La courbe rouge (bleue) est l'attente théorique basée sur les équations (7) et (8). L'axe de droite est la variation relative du taux de croissance moyenne entre d = 6 nm et d = 12 nm, en%
|
4. Discussion
L'effet le plus commun des ions pris en compte dans les modèles d'aérosols est la charge en aérosol qui augmente l'interaction entre les aérosols chargés et les aérosols / molécules neutres, augmentant ainsi la croissance des aérosols. Cependant, comme mentionné précédemment, la densité d'ions n'affecte pas la fraction à l'état d'équilibre des aérosols chargés, de sorte que les interactions induites par les ions restent presque constantes, ce qui signifie qu'aucun effet sur la croissance des aérosols n'est attendu. Néanmoins, les expériences et les observations suggèrent que les ions ont un effet sur la formation de CCN, la question a donc été, comment est-ce possible?
Le présent travail démontre que le flux de masse associé à la charge d'aérosol par les ions et la recombinaison ion-aérosol est important et ne doit pas être négligé. Γ in Eq. Γ dans l'équation (7) contient l'effet du flux massique d'ions sur les aérosols et démontre les amplifications inhérentes à l'interaction entre les ions et les aérosols. Cette fonction Γ montre que l'estimation initiale du flux de masse, (nion/n0) = 10-3 , faite en introduction, est multipliée par la fonction dépendant de la taille
qui est au maximum d'environ 60 (mion/mo~2.25), et donc près de deux ordres de grandeur plus grands, que l'estimation naïve. L'expression simple pour le taux de croissance, Eq. (7), peut commodément être utilisé comme paramétrisation dans les modèles globaux d'aérosols.
En tant que test du modèle théorique, de nombreuses expériences ont été réalisées pour étudier l'effet sur la croissance du flux de masse ionique vers les aérosols. Une complication dans les expériences était que les aérosols ont été perdus aux parois de la chambre. Cela signifiait que la concentration de SA ne pouvait pas être aussi faible que les valeurs typiques dans l'atmosphère ~ 10 6 molécules cm -3 , mais devait être supérieure à ~ 2 × 10 7 molécules cm -3 . Par conséquent, l'effet relatif sur la croissance causée par les ions était plus petit qu'un ordre de grandeur plus petit, comme on peut le voir d'après l'équation (7). Le défi expérimental consistait donc à mesurer un changement <1% du taux de croissance, ce qui a été fait par répétition cyclique des expériences jusqu'à 99 fois et moyenne des résultats afin de minimiser les fluctuations, avec un total de 3100 h d'expériences. Les figures 3 et 4 montrent à la fois l'importance de la variation de la concentration de gaz SA neutre et l'effet de la modification de la densité d'ions, et montrent un excellent accord avec les attentes théoriques. Une caractéristique importante est que l'effet sur le taux de croissance continue jusqu'à ~ 20 nm, comme on peut le voir sur la Fig. 3 , qui est plus grand que prévu pour les aérosols chargés interagissant avec les molécules neutres [37], [38], [39] et devrait augmenter pour les concentrations d'AS pertinentes sur le plan atmosphérique. Il convient de noter que les premiers stades de la croissance sont très importants puisque les plus petits aérosols sont les plus vulnérables au piégeage par de grands aérosols préexistants, et en atteignant des tailles plus grandes ~ 20nm plus rapides, la survie augmente rapidement.
La théorie présentée est une approximation d'un problème complexe, et un certain nombre de simplifications ont été faites, ce qui soulève quelques questions. Nous allons maintenant discuter le plus pertinent: le matériau qui constitue les ions se condensera-t-il sur les aérosols en tout cas en tant que molécules neutres? Ce sera certainement le cas pour les ions négatifs HSO4-. En supposant que tous les ions négatifs, n-, sont HSO4-, alors le nombre de molécules SA neutres serait n0 - n- , où n- est la densité totale d'ions négatifs. Insérer des valeurs dans le côté droit de l'équation (7), par exemple pour la présente expérience n0 ~ 107 molécules cm-3 , et n-~104 ions cm-3 la correction au taux de croissance de la diminution des molécules neutres est, [Δ(dr/dt)/(dr/dt)] ~ [((n0-n-)-n0)/n0]<10-3, mais l'impact de la condensation ionique sur le taux de croissance est de l'ordre de 10-2 (figure 4) et donc d'un ordre de grandeur plus petit. Donc, même si les molécules neutres se condensent finalement, cela ne modifie pas significativement le taux de croissance estimé par la condensation ionique. Ce serait également le cas dans les conditions atmosphériques, où n0 est de l'ordre de 106 cm-3 et nions ~ 103 ions cm-3 , là encore une correction d'un ordre de grandeur inférieure à l'effet de condensation ionique. Notez également que le flux massique des ions est plus important que celui des molécules neutres, ce qui fait partie du taux de croissance plus rapide. En fait, même si les particules les plus grosses croissent légèrement plus lentement en raison d'une diminution des molécules neutres, le taux de croissance des plus petites particules est accru grâce aux interactions ioniques, qui agrandissent la section des petites particules (figure 5). Ceci conduit à la deuxième question: est-ce que la masse d'ions qui se condense sur les petits aérosols reste dans l'aérosol et ne s'évapore pas après la neutralisation de l'aérosol? Ceci est légèrement plus difficile à répondre, car la composition de tous les ions n'est pas connue. Le terminal abondant des l'ions négatifs HSO4- ne sont pas plus susceptibles de s'évaporer que les molécules SA neutres. En ce qui concerne les ions positifs ou négatifs inconnus, la possibilité d'évaporation est plus incertaine. Si le matériau de certains des ions est susceptible de s'évaporer plus facilement, cela diminuerait bien entendu l'effet ionique. Les conditions expérimentales actuelles n'indiquaient pas qu'il s'agissait d'un problème sérieux, mais dans une atmosphère de matières organiques plus volatiles, par exemple. Un autre problème est que les ions sulfate transportent généralement plus d'eau que leurs homologues neutres et on ne sait pas ce qui se passe avec cet excès d'eau après la neutralisation de l'aérosol. On a également supposé que la densité d'ions était en régime permanent avec la densité d'aérosol à tout moment. Ceci est bien sûr une approximation, mais à partir des mesures de la densité ionique avec un tube de Gerdien [40] l'échelle de temps typique pour atteindre l'état stationnaire est les minutes et l'hypothèse d'une densité d'ions en régime stable est donc une approximation raisonnable Il est à noter que dans les expériences, il existe deux types de pertes pour les ions, en plus de la recombinaison: les pertes de paroi et la condensation tombent dans les aérosols. Sur la base du taux de perte de l'acide sulfurique, le taux de perte de paroi est d'environ 7 x 10-4 s-1 , tandis que le puits de condensation pour l'expérience V2 était de 1,2 x 10-4 s-1 . Cela signifie que les pertes de paroi étaient dominantes et que les changements dans la population d'aérosols auront donc une influence minime sur la concentration en ions. De plus, la recombinaison est de loin le mécanisme de perte dominant pour les ions. Pour un taux de production d'ions de 16 cm-3 s-1 , la concentration en ions réelle est de 92% de ce que donne un calcul basé uniquement sur la recombinaison - pour une production d'ions plus importante, la recombinaison devient plus dominante et vice versa. Dans des conditions atmosphériques de forte condensation et faible production d'ions, ceci peut constituer une diminution significative de l'effet dû à la concentration réduite en ions, mais dans des conditions propres et dans l'expérience, le puits de condensation a un effet mineur. Pour calculer les coefficients d'interaction entre les ions et les aérosols, il est nécessaire de connaître la masse des ions et la masse des aérosols. Ceci est complexe en raison des nombreuses espèces d'ions et de leur teneur en eau, et à titre de simplification, une masse d'ions moyenne a été choisie pour être de 225 UMA. T La sensibilité de la théorie aux variations de la masse ionique dans la gamme (130-300 AMU) et la masse d'une molécule SA neutre dans la gamme (100-130) pourrait modifier le rapport important (β± 0 / β00) jusqu'à 20%.
|
Fig. 5 Coefficients.
|
 |
|
Les coefficients d'interaction entre une petite particule neutre de masse 100 AMU et un petit ion de masse 225 AMU interagissant avec des aérosols de diamètre d . L'interaction entre particules neutres, β 00 , est donnée par la courbe bleue, l'interaction entre les petites particules neutres et les aérosols chargés, β 0 ± , est donnée par la courbe rouge. L'interaction entre un ion positif ou négatif et des aérosols neutres, β ± 0 , est décrite avec la courbe jaune. Enfin, le coefficient de recombinaison entre deux particules chargées de manière opposée est donné par la courbe marron. Les coefficients ont été calculés en supposant une diffusion brownienne en incluant les forces de Van der Waals, les forces de Coulomb (y compris les charges d'image) et les forces visqueuses [41]. La symétrie entre les ions positifs et négatifs a été supposée, voir le texte
|
La pertinence possible de la théorie présentée dans l'atmosphère terrestre sera maintenant discutée. De l'équation (6), le facteur (nion / n0) indique que l'importance relative de la condensation ionique sera la plus grande lorsque la concentration du gaz de condensation n0 est faible et la densité ionique est grande. Deuxièmement, la densité numérique des aérosols devrait également être faible, de sorte que la majorité des ions ne se trouvent pas sur les aérosols. Ceci indique des environnements marins vierges au-dessus des océans, loin des régions continentales et polluées. Les résultats basés sur des mesures aéroportées suggèrent que la troposphère libre est une source majeure de CCN pour la couche limite du Pacifique, où la nucléation de nouveaux aérosols dans l'air traité par les nuages dans la zone de convergence intertropicale est effectuée en altitude avec la circulation de Hadley. -connections réparties sur ~ ± 30° de latitude [42], [43]. Dans ces mesures de vol, le taux de croissance typique des aérosols a été estimé à environ 0,4 nm h-1 [44] , ce qui implique une concentration moyenne de gaz de condensation de n0 ~ 4 × 106 molécules cm-3. Les mesures et les simulations de la concentration de SA dans la troposphère libre, moyennées annuellement en jours et nuits, sont de l'ordre de n ~ 106 molécules cm-3 [45]. Ceci peut être cohérent avec l'estimation légèrement supérieure ci-dessus, puisque la section efficace d'aérosol pour piéger les aérosols plus petits augmente avec la taille, ce qui ajoute au taux de croissance. . Deuxièmement, les observations suggèrent que lorsque les aérosols pénètrent dans la couche limite marine, certains des aérosols sont cultivés selon les normes CCN [46]. Puisque l'effet de la condensation ionique s'inverse inversement avec n 0 , une concentration de n0 ~ 4 × 106 molécules cm-3 diminuerait l'effet d'un facteur quatre. Comme on peut le voir sur la figure lb , l'effet de la condensation ionique pour un taux d'ionisation de q = 10 paires d'ions cm-3s-1 changerait de 10 à 2,5%, ce qui peut être encore important. Notez que d'autres gaz que l'acide sulfurique peuvent contribuer à n 0 dans l'atmosphère. Comme les aérosols sont transportés dans la circulation de Hadley, ils sont transportés dans la partie supérieure de la troposphère, où l'intensité et la variation de l'ionisation des rayons cosmiques sont les plus grandes [47]. Cela suggère qu'il existe de vastes régions où les conditions sont telles que le mécanisme proposé pourrait être important, c'est-à-dire où les aérosols sont nucléés dans la zone de convergence intertropicale et se déplacent vers des régions où des variations relativement importantes peuvent être observées. Ici, les aérosols pourraient croître plus rapidement sous l'influence de la condensation ionique, et le taux de croissance perturbé influera sur la capacité de survie des aérosols et ainsi sur la densité de CCN résultante. Enfin, les aérosols sont descendus et entraînés dans la couche limite marine, où les propriétés des nuages sont sensibles à la densité CCN [48] .
Bien que ce qui précède soit en soi spéculatif, il y a des observations pour soutenir davantage cette idée. En de rares occasions, le Soleil éjecte du plasma solaire (éjections de masse coronale) qui peut traverser la Terre, ce qui fait que le flux de rayons cosmiques diminue soudainement et reste faible pendant une semaine ou deux. De tels événements, avec une réduction significative du flux des rayons cosmiques, sont appelés des diminutions de Forbush, et peuvent être utilisés pour tester le lien entre l'ionisation des rayons cosmiques et les nuages. Une étude complète récente a identifié les plus fortes baisses de Forbush, les a classées en fonction de leur force et a discuté de certaines des controverses entourant ce sujet [49]. Les données atmosphériques comprenaient trois ensembles de données satellites de nuages indépendants et un ensemble de données pour les aérosols. Une réponse claire aux cinq plus fortes baisses de Forbush a été observée à la fois dans les aérosols et dans toutes les données sur les nuages bas [50]. Le temps de réponse moyen global de la variation de l'ionisation à la variation des nuages était d'environ 7 jours [51], ce qui correspond au taux de croissance ci-dessus de ~ 0,4 nm h-1. Les cinq plus fortes baisses de Forbush (avec des changements d'ionisation comparables à ceux observés au cours d'un cycle solaire) ont montré des changements d'aérosols inférés et des changements de micro-physique dans l'ordre de ~ 2% [52]. La gamme de production d'ions dans l'atmosphère varie entre 2 et 35 paires d'ions s-1 cm-3 [53] et à partir de la figure 1b on peut déduire qu'une variation de 20% de la production d'ions peut avoir un impact sur le taux de croissance -4% (dans les conditions vierges). Il est suggéré que de tels changements dans le taux de croissance peuvent expliquer les changements de ~ 2% dans les nuages et les changements d'aérosols observés pendant les diminutions de Forbush. Il convient de souligner qu'il n'y a pas qu'un seul effet de CCN sur les nuages, mais que l'impact dépendra des différences régionales et des types de nuages. Dans les régions où le nombre de CCN est relativement élevé, l'effet présenté sera faible, de plus l'effet sur les nuages convectifs et sur les nuages de glace devrait être négligeable. CCN supplémentaires peuvent même entraîner moins de nuages Puisque l'effet de condensation des ions est le plus important pour les faibles concentrations d'AS et les densités d'aérosols, on pense que l'impact est le plus important dans les stratus marins.
Sur les échelles de temps astronomiques, lorsque le système solaire se déplace à travers les bras spiraux et les régions inter-bras de la galaxie, les changements dans le flux des rayons cosmiques peuvent être beaucoup plus importants [54], [55], [56]. Les régions inter-bras peuvent avoir la moitié du flux de rayons cosmiques actuel, alors que les régions de bras en spirale devraient avoir au moins 1,5 fois le flux actuel. Cela devrait correspondre à un changement de ~ 10% du taux de croissance des aérosols, entre les régions interconnectées et interarmées. Enfin, si une supernova proche de la Terre se produit, comme cela peut se produire entre 2 et 3 millions d'années [57], l'ionisation peut augmenter de 100 à 1000 fois en fonction de sa distance à la Terre et du temps écoulé depuis l'événement. La figure 1b montre que le taux de croissance des aérosols augmente dans ce cas de plus de 50%. De tels changements importants devraient avoir un impact profond sur les concentrations de CCN, la formation de nuages et finalement le climat.
En conclusion, un mécanisme par lequel les ions condensent leur masse sur de petits aérosols et augmente ainsi le taux de croissance des aérosols, a été formulé théoriquement et montré être en bon accord avec des expériences étendues. Le mécanisme de la condensation induite par les ions peut être pertinent dans l'atmosphère de la Terre dans des conditions primitives, et capable d'influencer la formation de CCN. On suppose que ce mécanisme pourrait expliquer les corrélations observées entre les variations climatiques passées et les rayons cosmiques, modulées soit par l'activité solaire[58], [59], [60], [61], [62] ou l'activité de supernova dans le voisinage solaire sur de très longues échelles[63], [64], [65]. La théorie de la condensation induite par les ions devrait être incorporée dans les modèles globaux d'aérosols, afin de tester pleinement les implications atmosphériques.
5. Méthodes
5.1. Correction de la condensation due à des ions
L' expansion Eq. (1) donne (cf eq. 9)
où les indices 0, + et - se réfèrent aux particules neutres, de façon positive, et chargées négativement. Ici r et t sont le rayon de l'aérosol et le temps. N0, N+, et N- est la densité en nombre des aérosols neutres, positifs et négatifs. n0 est la concentration du gaz condensable (généralement de l' acide sulfurique dans la phase gazeuse), n+ et n- est la concentration en ions positifs et négatifs, A0 = (m0/4 πr2 ρ), A+ = (M+/4 πr2 ρ), et A- = (m- / 4 πr2 ρ), où m0 est la masse de la molécule de gaz neutre, m+ et m- est la masse moyenne de positif / des ions négatifs, ρ est la masse volumique du gaz à condensation et ß du coefficient d'interaction entre les monomères et le neutre et / ou aérosols chargés. Les paramètres du modèle ci-dessus sont montrés dans la Fig. 5 .
En utilisant l'équilibre entre les aérosols et les ions que nous avons (cf eq. 10)
tout en définissant N tot = N 0 + N + + N - donne (cf eq. 11)
Si nous supposons en outre une symétrie entre les charges positives et négatives, à savoir que mion ≡ m+ = m- , β± 0 ≡ β-0 = β0 , β± ∓ ≡ β+ - = β- + ainsi que nion ≡ n+ = n- , telle que A± ≡ A+ = A- , on trouve (cf eq. 12)
et Ntot = N0 + N+ + N- , nous obtenons (cf eq. 13)
Utilisation de l'équation (12) dans l' équation (9) et en utilisant la symétrie de charge donne (cf eq 13 bis)
L'ajout des trois équations résulte alors (cf eq. 14)
En utilisant Ntot comme un facteur commun, nous avons alors (cf eq. 15)
Prenant β00 en tant que facteur commun et en branchant l' équation (13) dans le premier terme donne l'expression (cf eq. 16)
La fonction ci-dessus est égal à
, et F est donc remplacé par 1. Un simple réarrangement donne la forme finale (cf eq. 17)
d'où (cf eq. 18)
5.2. Description détaillée du dispositif expérimental
Les expériences ont été réalisées dans un cube 8 m 3 chambre de réaction en acier inoxydable utilisé dans Svensmark et al.[66], et représenté schématiquement sur la Fig. 6 . Un côté de la chambre est constituée d' une feuille de Teflon pour permettre la transmission de la lumière UV collimaté (253,7 nm), qui a été utilisé pour la photolyse de l' ozone pour produire de l' acide sulfurique qui initie une nucléation aérosol. La chambre a été purgé en continu avec 20 L min-1 de passage de l' air purifié à travers un humidificateur, 5 L min-1 de l' air purifié en passant par un générateur d'ozone, et 3,5 ml min-1 de SO2 (5 ppm dans l' air, AGA). L'air purifié a été fourni par un compresseur avec une unité de séchage et un filtre à charbon actif et l' acide citrique.
|
Fig. 6
|
 |
|
La configuration expérimentale
|
La chambre a été équipée d'analyseurs de gaz pour l' ozone et le dioxyde de soufre (un Teledyne 400 et Thermo 43 CTL, respectivement) et des capteurs de température et d' humidité relative. Pour les mesures d'aérosol, un système de calibrage des particules de mobilité de balayage (SMPS) a été utilisé. Le système se composait d'un classificateur électrostatique (modèle TSI 3080 avec un modèle 3077A neutralisante Kr-85) en utilisant un nano-DMA (modèle TSI 3085) , ainsi que l'un des deux compteurs de particules de condensation (modèle TSI 3775 ou 3776). Pour quelques - unes des expériences, une API-TOF CI en utilisant HNO 3 comme agent d'ionisation a été utilisé pour mesurer l'acide sulfurique dans la chambre. L'ionisation dans la chambre peut être augmentée par deux 27 MBq Cs-137 sources gamma placé 0,6 m à partir de côtés opposés de la chambre, avec la possibilité de mettre en atténuant les plaques de plomb de 0,5, 1,0 et 2,0 cm d' épaisseur en face de chaque source. A pleine puissance des sources augmentent l'ionisation dans la chambre à 212 paires d' ions cm-3 s-1 .
5.3. Les détails de l'analyse des données
Un total de 11 essais expérimentaux totalisant 3100 h de mesures ont été effectuées avec des paramètres variables. Les paramètres de chacune des expériences sont présentés dans le tableau 1.
|
Tableau 1: Vue d'ensemble des essais expérimentaux L'ionisation accrue soutient la croissance des aérosols dans les noyaux de condensation des nuages
|
|
Exp. une
|
P b
|
N c
|
Plage de balayage d
|
UV e
|
RH f
|
CPC g
|
Lead h
|
|
-
|
h
|
#
|
nm
|
%
|
%
|
Modèle
|
cm
|
|
V1 *
|
4
|
23
|
3,5-118
|
80
|
14
|
3775
|
0
|
|
V2 *
|
4
|
97
|
2-63.8
|
70
|
23
|
3776
|
0
|
|
V3 *
|
8
|
16
|
2-63.8
|
70
|
23
|
3776
|
0
|
|
V4 *
|
4
|
77
|
2-63.8
|
50
|
23
|
3776
|
0
|
|
V5 *
|
8
|
44
|
2-63.8
|
40
|
15
|
3775
|
0
|
|
V6
|
8
|
22
|
2-63.8
|
35
|
21
|
3775
|
0
|
|
V7
|
8
|
4
|
4,0-20,2
|
35
|
37
|
3775
|
0
|
|
V8
|
8
|
12
|
4,0-20,2
|
25
|
38
|
3775
|
0
|
|
V9
|
8
|
45
|
4,0-20,2
|
15
|
38
|
3775
|
0
|
|
V10
|
8
|
47
|
4,0-20,2
|
15
|
38
|
3775
|
1
|
|
V11
|
8
|
99
|
4,0-20,2
|
25
|
37
|
3775
|
1
|
|
|
a Affiche le nom de l'expérience, utilisé comme référence. Un astérisque (*) à côté du nom indique que l'acide sulfurique a été mesuré pendant l'expérience b Longueur de la période ( P ) où un P de 4 h signifie que l'expérience a eu 2 h de rayons y et 2 h de rayons γ c Nombre de répétitions (périodes) de l'expérience d Plage de balayage du DMA, qui a été réduit dans les dernières exécutions sans modifier le temps de cycle pour améliorer les statistiques de comptage e Réglage de la lumière UV utilisée pour produire l'acide sulfurique, en pourcentage de la puissance maximale. f Humidité relative dans la chambre g Numéro de modèle TSI de la CPC utilisée h Quantité de plomb devant les sources gamma pendant le temps gamma
|
Pour détecter une éventuelle différence dans le taux de croissance de la méthode suivante a été utilisée. Pour chaque essai expérimental chaque taille-bin a été normalisée et les périodes individuelles ont été superposées pour réduire le bruit dans les données, comme représenté sur la Fig. 2 du document principal. Les données superposées a ensuite été utilisée pour une analyse ultérieure. Pour chaque taille bac enregistré par le SMPS, le nombre d'aérosols par rapport au nombre moyen
a ensuite été tracée, comme l' illustre la courbe du haut de la Fig. 7. Le dérivé de cette courbe est le taux de variation de la densité d'aérosol d'une taille donnée, est utilisée pour déterminer la position temporelle des profils 1 et 2. Ceci peut être réalisé en calculant d' abord la dérivée
, En normalisant ensuite avec une valeur maximale de cette fonction à un diamètre d , (le carré a été utilisé pour obtenir un profil défini et nettement définie positive), et ensuite lissée en utilisant un filtre de wagon avec une largeur de typiquement 7-16 min- présentée comme la partie inférieure noire courbe sur la Fig. 7. La largeur du filtre de wagon est typiquement déterminée à partir de la condition selon laquelle , dans certains cas la forme gaussienne convergé-par exemple, avec une faible concentration en acide sulfurique d' un filtre de wagon a été utilisé plus, à cause du bruit relativement élevé. Fig. 7
|
Fig. 7
|
 |
|
Données superposées et ajustements gaussiens en utilisant les données de l'expérimentation V9 et les tailles SMPS centrées sur d = 7.51 nm
|
Au sommet de la courbe noire sur la Fig. 7 , un rouge en pointillés et une courbe en pointillés bleu sont superposées. Ce sont des crises gaussiennes aux deux maxima. La position du centre de chacun des profils gaussiens donne le temps de croissance par rapport au moment où les sources gamma ont été ouverts (profil 1) ou fermé (profil 2). Figure 8 parcelles
, normalisé avec cette fonction de valeur maximale au diamètre d , dans le plan (d , t).La position des maxima sont facilement visibles. Les pointillés noirs et les courbes rouges dans la Fig. 8 sont les maxima d' obtenir des ajustements de profil gaussien 1 et 2 profil.
|
Fig. 8
|
 |
|
Exemple de d ré N N tot tot ( ( d ré , , t t ) ) ∕ / N N ( ( d ré ) ) / d t t 2 2 ,normalisé avec cette fonction de valeur maximale au diamètre d , dans le plan ( d , t ). De l'expérience V9. La ligne pointillée noire et les lignes rouges sont les valeurs maximales, trouvées à partir d'un ajustement gaussien, et déterminent l'évolution des profils 1 et 2
|
La différence entre ces temps de croissance donne alors le ΔT pour chaque taille du bac, comme le montre la figure. 3 . Les ΔT valeurs peuvent ensuite être comparées aux attentes théoriques. Calculer la moyenne des différents ΔT valeurs pour des tailles comprises entre 6 et 12 nm résulte finalement dans le ΔT représenté sur la Fig. 4 .
5.4. Le mion / m0 rapport
Le tableau 2 résume les masses moyennes (m / q) d'une série d'essais en utilisant l'API-ToF sans l'unité CI pour mesurer des ions négatifs afin de déterminer le rapport mion / m0 . Notez que l' eau se vaporise dans l'API-TOF de sorte que les masses mesurées sont inférieures aux masses réelles des grappes. Le rapport de 2,25 pour mion / m0 utilisée dans les calculs impliquerait que , pour un sèche (0 eau) molécule d'acide sulfurique neutre (98 AMU) mionique devrait être de 220 m/q . La quantité d'eau sur une molécule d'acide sulfurique varie selon l'humidité de 50% HR par rapport , il est habituellement 1-2 molécules d'eau. En supposant que les eaux et 1,5 mion / m0 = 2,25 ce qui donnerait une masse humide de 281 AMU. Cependant, les expériences ont été réalisées à moindre HR de 50% et notent également que des ions sulfate d'hydrogène attirer plus d' eau que la molécule d'acide sulfurique neutre [67] . Enfin, les ions positifs ne sont pas mesurés et ceux - ci sont généralement plus lourds que les ions négatifs [68] .
|
Tableau 2: spectres de masse moyenne
|
|
UV
|
Gamma
|
Masse
|
Masse w. eau
|
|
%
|
-
|
m / q
|
m / q
|
|
0
|
De
|
258
|
280
|
|
25
|
De
|
177
|
214
|
|
25
|
Sur
|
174
|
209
|
|
50
|
De
|
189
|
227
|
|
70
|
De
|
183
|
220
|
|
70
|
Sur
|
175
|
212
|
|
|
Chaque ligne montre les conditions et la moyenne m / q pour un spectre de masse API-ToF de 4 h sans l'IC. La colonne 1 montre le niveau d'UV en pourcentage de la puissance maximale. La colonne 2 montre si les sources de rayons y étaient allumées ou éteintes. La colonne 3 est la moyenne m / q du spectre. La colonne 4 est la masse moyenne du spectre, quand 1 eau (m / q 18) a été ajoutée à toutes les masses sauf les quatre premiers pics d'acide sulfurique (m / q 97, 195, 293, 391) qui a 1,5 eau par soufre acide
|
5.5. Data availability Disponibilité des données
Les données générées au cours de l'étude sont disponibles auprès de l'auteur correspondant sur demande raisonnable.
6. Information additionnelle
Note de l'éditeur: Springer Nature reste neutre en ce qui concerne les revendications juridictionnelles dans les cartes publiées et les affiliations institutionnelles.
7. Remerciements
Jacob Svensmark est financé par le Conseil danois pour la recherche indépendante dans le cadre du projet Fundamentals of Dark Matter Structures, DFF 6108-00470. HS remercie le regretté Nigel Calder pour ses nombreuses discussions au début de ce travail.
8. Contributions
HS made the theoretical calculations, designed and helped with the experiments and wrote the first draft of the paper. HS a fait les calculs théoriques, conçu et aidé avec les expériences et a écrit la première ébauche de l'article. MBE made the experiments and made input to the paper. MBE a fait les expériences et a contribué au document. NJS made input to the theory, experiments, and paper. Le NJS a contribué à la théorie, aux expériences et au papier. JS helped with the experiments, calculated the interaction coefficients, and made input to the paper. JS a contribué aux expériences, a calculé les coefficients d'interaction et a contribué au document.
9. Conflits d’intérêts
Les auteurs déclarent une absence de conflits d'intérêts financiers.
10. Auteur correspondant
Correspondance avec H. Svensmark .
11. Matériel supplémentaire électronique
11.1 Fichier d'évaluation par les pairs
Article Revu par Jeff Pierce
https://static-content.springer.com/esm/art%3A10.1038%2Fs41467-017-02082-2/MediaObjects/41467_2017_2082_MOESM1_ESM.pdf
11.2. Accès libre
Cet article est sous licence Creative Commons 4.0 International License, qui autorise l'utilisation, le partage, l'adaptation, la distribution et la reproduction sur tout support ou format, à condition que vous donniez un crédit approprié aux auteurs originaux et à la source, fournir un lien vers la licence Creative Commons et indiquer si des modifications ont été apportées. Les images ou tout autre matériel de tiers dans cet article sont inclus dans la licence Creative Commons de l'article, sauf indication contraire dans une ligne de crédit à l'article. Si le matériel n'est pas inclus dans la licence Creative Commons de l'article et que votre utilisation prévue n'est pas permise par la loi ou dépasse l'utilisation autorisée, vous devrez obtenir la permission directement du détenteur des droits d'auteur. Pour voir une copie de cette licence, visitez http://creativecommons.org/licenses/by/4.0/ .
[1] Institut national de l'espace, Université technique du Danemark, Elektrovej, bâtiment 328, 2800, Lyngby, Danemark. Cette adresse e-mail est protégée contre les robots spammeurs. Vous devez activer le JavaScript pour la visualiser.. Cette adresse e-mail est protégée contre les robots spammeurs. Vous devez activer le JavaScript pour la visualiser..
[2] Institut national de l'espace, Université technique du Danemark, Elektrovej, bâtiment 328, 2800, Lyngby, Danemark.
[3] Racah Institute of Physics, Université hébraïque de Jérusalem, Jérusalem, 91904, Israël.
[4] Institut national de l'espace, Université technique du Danemark, Elektrovej, bâtiment 328, 2800, Lyngby, Danemark.
et Dark Cosmology Centre, Niels Bohr Institute, University of Copenhagen, Juliane Maries Vej 30, 2100, Copenhagen, Denmark. Centre de cosmologie sombre, Institut Niels Bohr, Université de Copenhague, Juliane Maries Vej 30, 2100, Copenhague, Danemark.
[5] Seinfeld, J. H. & Pandis, S. N. Atmosheric Chemistry and Physics: From Air Pollution to Climate Change, Ch. 17 (Wiley, 2006).
[6] Twomey, S., Gall, R. & Leuthold, M. Pollution and cloud reflectance. Bound. -Layer. Meteor. 41, 335–348 (1987).
[7] Pierce, J. R. & Adams, P. J. Can cosmic rays affect cloud condensation nuclei by altering new particle formation rates? Geophys. Res. Lett. 36, 9820 (2009).
[8] Dickinson, R. E. Solar variability and the lower atmosphere. Bull. Am. Meteorol. Soc. 56, 1240–1248 (1975).
[9] Svensmark, H. & Friis-Christensen, E. Variation of cosmic ray flux and global cloud coverage—a missing link in solar-climate relationships. J. Atmos. Sol. -Terr. Phys. 59, 1225–1232 (1997).
[10] Svensmark, H., Bondo, T. & Svensmark, J. Cosmic ray decreases affect atmospheric aerosols and clouds. Geophys. Res. Lett. 36, 15101–1510 (2009).
[11] Svensmark, J., Enghoff, M. B., Shaviv, N. J. & Svensmark, H. The response of clouds and aerosols to cosmic ray decreases. J. Geophys. Res.: Space Phys. 121, 8152–8181 (2016).
[12] Svensmark, H., Pedersen, J. O. P., Marsh, N. D., Enghoff, M. B. & Uggerhøj, U. I. Experimental evidence for the role of ions in particle nucleation under atmospheric conditions. Proc. R. Soc. A 463, 385–396 (2007).
[13] Kirkby, J. et al. Role of sulphuric acid, ammonia and galactic cosmic rays in atmospheric aerosol nucleation. Nature 476, 429–433 (2011).
[14] Pierce, J. R. & Adams, P. J. Can cosmic rays affect cloud condensation nuclei by altering new particle formation rates? Geophys. Res. Lett. 36, 9820 (2009).
[15] Snow-Kropla, E., Pierce, J., Westervelt, D. & Trivitayanurak, W. Cosmic rays, aerosol formation and cloud-condensation nuclei: sensitivities to model uncertainties. Atmos. Chem. Phys. 11, 4001–4013 (2011).
[16] Yu, F. & Luo, G. Effect of solar variations on particle formation and cloud condensation nuclei. Environ. Res. Lett. 9, 045004 (2014).
[17] Svensmark, H., Enghoff, M. B. & Pedersen, J. O. P. Response of cloud condensation nuclei (>50 nm) to changes in ion-nucleation. Phys. Lett. A 377, 2343–2347 (2013).
[18] Svensmark, H., Bondo, T. & Svensmark, J. Cosmic ray decreases affect atmospheric aerosols and clouds. Geophys. Res. Lett. 36, 15101–1510 (2009).
[19] Svensmark, J., Enghoff, M. B., Shaviv, N. J. & Svensmark, H. The response of clouds and aerosols to cosmic ray decreases. J. Geophys. Res.: Space Phys. 121, 8152–8181 (2016).
[20] Eddy, J. A. The maunder minimum. Science 192, 1189–1202 (1976).
[21] Svensmark, H. Influence of cosmic rays on earth’s climate. Phys. Rev. Lett. 81, 5027–5030 (1998).
[22] Neff, U. et al. Strong coherence between solar variability and the monsoon in Oman between 9 and 6 kyr ago. Nature 411, 290–293 (2001).
[23] Bond, G. et al. Persistent solar influence on north atlantic climate during the holocene. Science 294, 2130–2136 (2001).
[24] Shaviv, N. J. Using the oceans as a calorimeter to quantify the solar radiative forcing. J. Geophys. Res. (Space Phys.) 113, 11101 (2008).
[25] Shaviv, N. J. Cosmic ray diffusion from the galactic spiral arms, iron meteorites, and a possible climatic connection. Phys. Rev. Lett. 89, 051102–05110 (2002).
[26] Shaviv, N. J. The spiral structure of the Milky Way, cosmic rays, and ice age epochs on Earth. New Astron. 8, 39–77 (2003).
[27] Svensmark, H. Evidence of nearby supernovae affecting life on earth. Mon. Not. R. Astron. Soc. 423, 1234–1253 (2012).
[28] Laakso, L. et al. Ion production rate in a boreal forest based on ion particle and radiation measurements. Atmos. Chem. Phys. 4, 1933–1943 (2004).
[29] Hoppel, W. A. Ion-aerosol attachment coefficients, ion depletion, and the charge distribution on aerosols. J. Geophys. Res.: Atmos. 90, 5917–5923 (1985).
[30] Laakso, L. et al. Detecting charging state of ultra-fine particles: instrumental development and ambient measurements. Atmos. Chem. Phys. 7, 1333–1345 (2007).
[31] Yu, F. & Turco, R. P. The formation and evolution of aerosols in stratospheric aircraft plumes: Numerical simulations and comparisons with observations. J. Geophys. Res. 103, 25915–25934 (1998).
[32] Seinfeld, J. H. & Pandis, S. N. Atmospheric Chemistry and Physics: From Air Pollution to Climate Change (John Wiley and Sons, 1998).
[33] Hoppel, W. A. Ion-aerosol attachment coefficients, ion depletion, and the charge distribution on aerosols. J. Geophys. Res.: Atmos. 90, 5917–5923 (1985).
[34] Kuang, C., McMurry, P. H. & McCormick, A. V. Determination of cloud condensation nuclei production from measured new particle formation events. Geophys. Res. Lett. 36, L09822 (2009).
[35] Hõrrak, U., Salm, J. & Tammet, H. Bursts of intermediate ions in atmospheric air. J. Geophys. Res. 103, 13909–13915 (1998).
[36] Jokinen, T. et al. Atmospheric sulphuric acid and neutral cluster measurements using ci-api-tof. Atmos. Chem. Phys. 12, 4117–4125 (2012).
[37] Yu, F. & Turco, R. P. From molecular clusters to nanoparticles: role of ambient ionization in tropospheric aerosol formation. J. Geophys. Res. 106, 4797–4814 (2001).
[38] Nadykto, A. B. & Yu, F. Uptake of neutral polar vapor molecules by charged clusters/particles: Enhancement due to dipole-charge interaction. J. Geophys. Res.: Atmos. 108, 4717 (2003).
[39] Lushnikov, A. A. & Kulmala, M. Charging of aerosol particles in the near free-molecule regime. Eur. Phys. J. D—At., Mol., Opt. Plasma Phys. 29, 345–355 (2004).
[40] Gerdien, H. Demonstration eines apparates zur absoluten messung der elektrischen leitfahigheit der luft. Phys. Ztg. 6, 800–801 (1905).
[41] Yu, F. & Turco, R. P. The formation and evolution of aerosols in stratospheric aircraft plumes: Numerical simulations and comparisons with observations. J. Geophys. Res. 103, 25915–25934 (1998).
[42] Clarke, A. D. et al. Nucleation in the equatorial free troposphere: Favorable environments during pem-tropics. J. Geophys. Res.: Atmos. 104, 5735–5744 (1999).
[43] Clarke, A. D. et al. Free troposphere as a major source of ccn for the equatorial pacific boundary layer: long-range transport and teleconnections. Atmos. Chem. Phys. 13, 7511–7529 (2013).
[44] Clarke, A. D. et al. Free troposphere as a major source of ccn for the equatorial pacific boundary layer: long-range transport and teleconnections. Atmos. Chem. Phys. 13, 7511–7529 (2013).
[45] Dunne, E. M. et al. Global atmospheric particle formation from cern cloud measurements. Science 354, 1119–1124 (2016)
[46] Clarke, A. D. et al. Free troposphere as a major source of ccn for the equatorial pacific boundary layer: long-range transport and teleconnections. Atmos. Chem. Phys. 13, 7511–7529 (2013).
[47] Bazilevskaya, G. A. et al. Cosmic ray induced ion production in the atmosphere. Space Sci. Rev. 137, 149–173 (2008).
[48] Twomey, S., Gall, R. & Leuthold, M. Pollution and cloud reflectance. Bound. -Layer. Meteor. 41, 335–348 (1987)
[49] Svensmark, J., Enghoff, M. B., Shaviv, N. J. & Svensmark, H. The response of clouds and aerosols to cosmic ray decreases. J. Geophys. Res.: Space Phys. 121, 8152–8181 (2016).
[50] Svensmark, J., Enghoff, M. B., Shaviv, N. J. & Svensmark, H. The response of clouds and aerosols to cosmic ray decreases. J. Geophys. Res.: Space Phys. 121, 8152–8181 (2016).
[51] Svensmark, J., Enghoff, M. B., Shaviv, N. J. & Svensmark, H. The response of clouds and aerosols to cosmic ray decreases. J. Geophys. Res.: Space Phys. 121, 8152–8181 (2016).
[52] Svensmark, J., Enghoff, M. B., Shaviv, N. J. & Svensmark, H. The response of clouds and aerosols to cosmic ray decreases. J. Geophys. Res.: Space Phys. 121, 8152–8181 (2016).
[53] Bazilevskaya, G. A. et al. Cosmic ray induced ion production in the atmosphere. Space Sci. Rev. 137, 149–173 (2008).
[54] Shaviv, N. J. Cosmic ray diffusion from the galactic spiral arms, iron meteorites, and a possible climatic connection. Phys. Rev. Lett. 89, 051102–05110 (2002).
[55] Shaviv, N. J. The spiral structure of the Milky Way, cosmic rays, and ice age epochs on Earth. New Astron. 8, 39–77 (2003).
[56] Svensmark, H. Evidence of nearby supernovae affecting life on earth. Mon. Not. R. Astron. Soc. 423, 1234–1253 (2012).
[57] Knie, K. et al. 60Fe anomaly in a deep-sea manganese crust and implications for a nearby supernova source. Phys. Rev. Lett. 93, 171103 (2004).
[58] Eddy, J. A. The maunder minimum. Science 192, 1189–1202 (1976).
[59] Svensmark, H. Influence of cosmic rays on earth’s climate. Phys. Rev. Lett. 81, 5027–5030 (1998).
[60] Neff, U. et al. Strong coherence between solar variability and the monsoon in Oman between 9 and 6 kyr ago. Nature 411, 290–293 (2001).
[61] Bond, G. et al. Persistent solar influence on north atlantic climate during the holocene. Science 294, 2130–2136 (2001).
[62] Shaviv, N. J. Using the oceans as a calorimeter to quantify the solar radiative forcing. J. Geophys. Res. (Space Phys.) 113, 11101 (2008).
[63] Shaviv, N. J. Cosmic ray diffusion from the galactic spiral arms, iron meteorites, and a possible climatic connection. Phys. Rev. Lett. 89, 051102–05110 (2002).
[64] Shaviv, N. J. The spiral structure of the Milky Way, cosmic rays, and ice age epochs on Earth. New Astron. 8, 39–77 (2003).
[65] Svensmark, H. Evidence of nearby supernovae affecting life on earth. Mon. Not. R. Astron. Soc. 423, 1234–1253 (2012).
[66] Svensmark, H., Enghoff, M. B. & Pedersen, J. O. P. Response of cloud condensation nuclei (>50 nm) to changes in ion-nucleation. Phys. Lett. A 377, 2343–2347 (2013).
[67] Kurtén, T., Noppel, M., Vehkamäki, H., Salonen, M. & Kulmala, M. Quantum chemical studies of hydrate formation of H2SO4 and HSO4 −. Boreal Environ. Res. 12, 431–453 (2007).
[68] Hõrrak, U., Salm, J. & Tammet, H. Bursts of intermediate ions in atmospheric air. J. Geophys. Res. 103, 13909–13915 (1998).